2014年论文
1. Han-Ming Zhang†, Wen-Qiang Jia†, Zhi-Qin Liang and Prof. Dr. Song Ye*. "N-Heterocyclic Carbene-Catalyzed [3+3] Cyclocondensation of Bromoenals and Ketimines: Highly Enantioselective Synthesis of Dihydropyridinones." Asian J. Org. Chem. 2014, 3, 462 – 465. PDF
.gif)
2. Wen-Qiang Jiaa, Xiang-Yu Chena, Li-Hui Suna and Song Ye*a. "Organocatalytic [4 + 2] cyclocondensation of α,β-unsaturated acyl chlorides with imines: highly enantioselective synthesis of dihydropyridinone and piperidine derivatives," Org. Biomol. Chem., 2014,12, 2167-2171. PDF

3. Han-Ming Zhang, Zhong-Hua Gao, and Song Ye*. "Bifunctional N‑Heterocyclic Carbene-Catalyzed Highly Enantioselective Synthesis of Spirocyclic Oxindolo-β-lactams." Org. Lett. 2014, 16, 3079−3081. PDF

4. Lihui Sun, Zhiqin Liang, Song Ye,*. "Asymmetric N-Heterocyclic Carbene-catalyzed [4+2] Cycloaddition of Ketenes with α-cyanochalcones." Acta Chim. Sinica. 2014, 72, 841—844. PDF

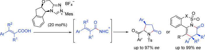
5. Xiang-Yu Chen1, Zhong-Hua Gao1, Chun-Yu Song2, Chun-Lin Zhang1, Prof. Dr. Zhi-Xiang Wang2,*and Prof. Dr. Song Ye1,*. "N-Heterocyclic Carbene Catalyzed Cyclocondensation of a,b-Unsaturated Carboxylic Acids: Enantioselective Synthesis of Pyrrolidinone and Dihydropyridinone Derivatives**." Angew. Chem. Int. Ed. 2014, 53, 11611 –11615. PDF
